单价最高约6万,合肥最新学区房价格!
时间来到10月以后,虽然早已过了学区房旺季,但一些家长明年有学区房需求,计划提前开始了解小户型学区房的价格,为明年做准备,今天就把部分热门学区的学区房的成交价整理一下,分享给大家。
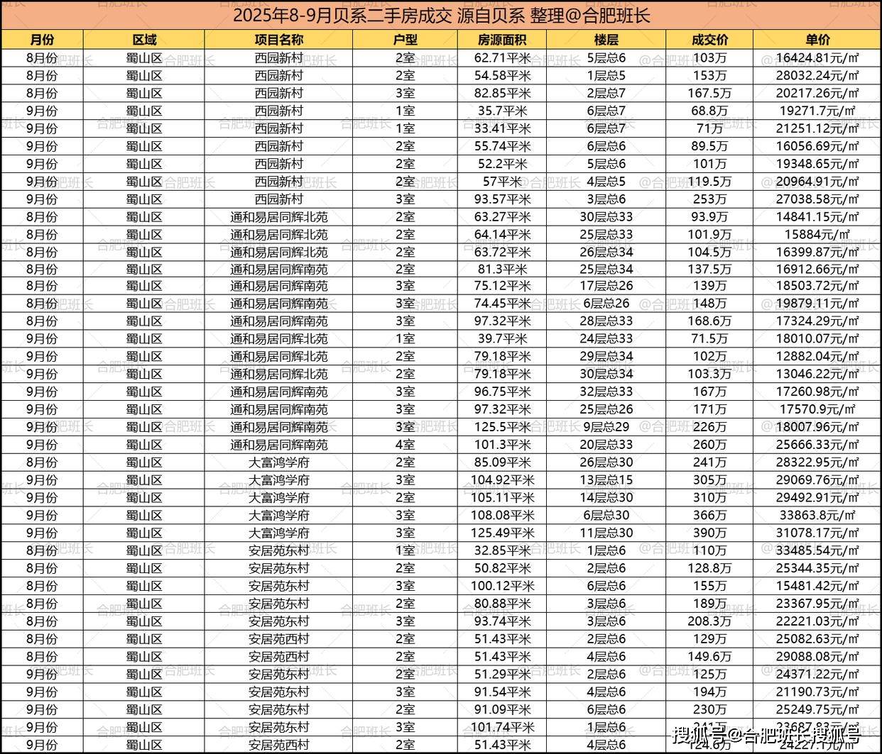
PS:数据源贝系,非所有成交,一房一价,仅供参考;

▲文华阁
滨湖区
滨湖区学区房市场,最受欢迎的是师范附小本部+46中本部。(因贝系数据延迟15天显示,引用8-9月数据,下同)
8到9月文华阁、春晖园和书香门第等小区都有成交,单价最高的是文华阁一套35.51平小户型,单价2.7万、总价96万,其它价格在1.5万到2万不等。
其中书香门第的成交量是比较高的,而且以三室居多,兼顾居住+学区需求,9月书香门第的成交均价是18061元/平,较8月的17553元/平,有所上涨。

展开全文
蜀山区
蜀山区作为教育强区,安居苑小学、50中东、50中西、西园新村小学等学校都非常受欢迎。成交量最高和有代表性的小区有西园新村、通和易居同辉南苑/北苑、大富鸿学府、安居苑西村和安居苑东村等小区。
西园新村学区为西园新村小学和五十中学东校本部,小户型单价在1.6到2.7万的区间。通和易居同辉南北苑因为小学学区的不同,价格有所差异,具体就不赘述了,大家看图。
单价最高的是大富鸿学府一套109平三房,单价约3.4万、总价约366万。这种稀缺的学区次新房,往往价格表现优异。

经开区
经开区小户型学区房市场主要集中在168玫瑰园西校和168玫瑰园东校,国耀花半里是168玫瑰园西,8月成交均价2.36万,9月成交均价2.48万。
金水童话名苑是168玫瑰园东校,8月有一套小户型成交,面积39.68平,单价约2.1万。

政务区
政务区最受欢迎的学区是50中天鹅湖教育集团天鹅湖校区,8到9月成交小户型不多,主要集中在上半年。
类似水墨兰庭是西园新村小学南校汇林校区+50新,凯旋门二期是西园新村小学南校+50中天鹅湖校区/潜山路校区双选,小户型单价约1.53万到1.66万左右。

包河区
包河区学区房市场最受欢迎的是48中本部,在48中学区范围内又分为青年路小学、青年路小学巢湖路小学、屯溪路小学和屯溪路小学曙光小学。
大概翻了一下,包河区学区房成交也是以上半年居多,最近两个月小户型成交较少,6月后价格最高的是桐城路一套27平小户型,单价3万。

庐阳区
庐阳可谓合肥教育最强区,拥有南门小学+45中合肥王牌学区组合,还有四十二中、安三小、长江路二小、长江路三小、红星路小学、永红路小学、逍遥津小学、淮河路小学等优质教育资源,在学区房市场是最受欢迎的。
其中学区组合也多,南门+45中是价格最高的,其它根据不同组合价格不一。大家可以先选定小学和中学后,再具体找房源,会简单很多。

瑶海区
瑶海区最受欢迎的学区肯定是和平小学和三十八中,单价最高的是片区内房龄新、居住品质好的保利熙悦府和鼎元府邸。
成交房源主要在7月和8月,熙悦府7有有两套小户型,单价2.2到2.3万左右;鼎元府邸8月有1套小户型,单价约2万左右。

以上就是2025年8到9月部分区域的一些学区房成交情况,庐阳区和蜀山区的学区房在其中价格和销量都排名前列,可见如今学区房市场同样分化明显,对教育重视的家长往头部学校集中。
当然,最适合的才是最好的,大家可以根据自身的需求来选择学校。而一些非热门学区组合、单本部,如果片区内老旧小区多,也会有不少低总价选择,大家可以多找找房源。


评论